当前位置:肿瘤瞭望>资讯>研究>正文

P-VERIFY研究:哌柏西利、瑞波西利、阿贝西利,哪种CDK4/6i能在真实世界中为晚期乳腺癌患者带来更久PFS获益?

作者:肿瘤瞭望   日期:2025/9/17 17:02:46  浏览量:4943

肿瘤瞭望版权所有,谢绝任何形式转载,侵犯版权者必予法律追究。

激素受体阳性(HR+)/人表皮生长因子受体2阴性(HER2-)乳腺癌是最常见的乳腺癌亚型,且约30%的早期患者最终会进展为转移性乳腺癌(mBC)。目前,细胞周期蛋白依赖性激酶4/6抑制剂(CDK4/6i)联合内分泌治疗(ET)已成为该亚型一线标准治疗方案。然而,迄今为止尚无CDK4/6i之间的头对头随机对照试验(RCT)数据。2025年9月1日,《ESMO Open》在线发表的大型真实世界临床研究(RWS)《Real-world progression-free survival of CDK4/6 inhibitors plus an aromatase inhibitor in HR-positive/HER2-negative metastatic breast cancer in United States routine clinical practice》填补了这一空白。该研究依据美国电子健康记录数据库,首次在常规临床实践背景下系统比较了一线哌柏西利、瑞波西利和阿贝西利分别联合芳香化酶抑制剂(AI)的真实世界无进展生存期(rwPFS),为临床决策提供了关键循证依据。

编者按:激素受体阳性(HR+)/人表皮生长因子受体2阴性(HER2-)乳腺癌是最常见的乳腺癌亚型,且约30%的早期患者最终会进展为转移性乳腺癌(mBC)。目前,细胞周期蛋白依赖性激酶4/6抑制剂(CDK4/6i)联合内分泌治疗(ET)已成为该亚型一线标准治疗方案。然而,迄今为止尚无CDK4/6i之间的头对头随机对照试验(RCT)数据。2025年9月1日,《ESMO Open》在线发表的大型真实世界临床研究(RWS)《Real-world progression-free survival of CDK4/6 inhibitors plus an aromatase inhibitor in HR-positive/HER2-negative metastatic breast cancer in United States routine clinical practice》填补了这一空白。该研究依据美国电子健康记录数据库,首次在常规临床实践背景下系统比较了一线哌柏西利、瑞波西利和阿贝西利分别联合芳香化酶抑制剂(AI)的真实世界无进展生存期(rwPFS),为临床决策提供了关键循证依据。
 
 
研究背景
 
HR+/HER2−mBC一线治疗的RCT数据显示,CDK4/6i(哌柏西利、瑞波西利和阿贝西利)联合AI相比安慰剂联合内分泌治疗方案,可显著延长无进展生存期(PFS)并降低疾病进展或死亡风险,风险比(HR)范围为0.54-0.57,均已获美国食品药品监督管理局(FDA)批准应用于临床——哌柏西利于2015年率先获批,瑞波西利与阿贝西利于2017年相继获批。
 
然而,目前仍缺乏直接头对头比较不同CDK4/6i疗效的RCT,既往真实世界研究也多因样本量有限、随访时间较短或rwPFS定义不一致而存在局限性。P-VERIFY研究是迄今对比CDK4/6i有效性的一项规模最大规模的RWS,其先前结果显示一线不同CDK4/6i联合AI的总生存期(OS)无显著差异。本研究旨在基于美国常规临床实践数据,进一步比较三种CDK4/6i联合方案用于HR+/HER2−mBC患者一线治疗的rwPFS。
 
研究设计
 
P-VERIFY研究(NCT06495164)是一项基于美国Flatiron Health研究数据库的回顾性对照研究,该数据库为全国性脱敏电子健康记录衍生数据库,覆盖超过75万例乳腺癌患者。其数据包含结构化和非结构化患者级数据,通过机器学习驱动的自然语言处理技术与人工提取进行标准化,研究变量均经FDA验证框架确保准确性。
 
本研究纳入的患者需满足以下条件:确诊为HR+/HER2−mBC;确诊时年龄≥18岁;在2015年2月至2023年11月期间开始接受CDK4/6i联合AI一线治疗;治疗开始至数据截止日期至少具备6个月潜在随访时间。排除了同期参与临床试验的患者,随访截止至数据截止、死亡或末次医疗活动日期。主要终点为rwPFS,定义为从CDK4/6i+ET治疗开始至任何原因死亡或疾病进展(依据临床评估、影像学或组织活检,以先发生者为准)的月数;次要终点为对2017年后开始治疗人群的亚组分析,因为彼时三种CDK4/6i均已上市(图1)。
 
统计分析方面,采用描述性统计总结基线特征,Kaplan–Meier法估计rwPFS并绘图,主要分析基于Cox比例风险模型和稳定逆概率处理加权(sIPTW)计算HR及95%置信区间(CI)。其中加权通过多变量多项逻辑回归模型估计倾向评分,校正变量包括年龄、性别、种族、实践类型、ECOG评分、初诊分期、内脏转移、仅骨转移、转移部位数量和初诊至mBC的无病间期;这些变量同时纳入多变量Cox模型作为敏感性分析。
 
图1.P-VERIFY研究设计
 
研究结果
 
研究共纳入9146例HR+/HER2-mBC患者,其中哌柏西利+AI组6831例,瑞波西利+AI组1279例,阿贝西利+AI组1036例。经稳定逆概率加权处理后,各组基线人口学和临床特征总体趋于平衡(图2)。加权前后各组中位随访时间保持一致:哌柏西利组33个月,瑞波西利组约16个月,阿贝西利组约21个月。
 
图2.P-VERIFY研究患者基线
 
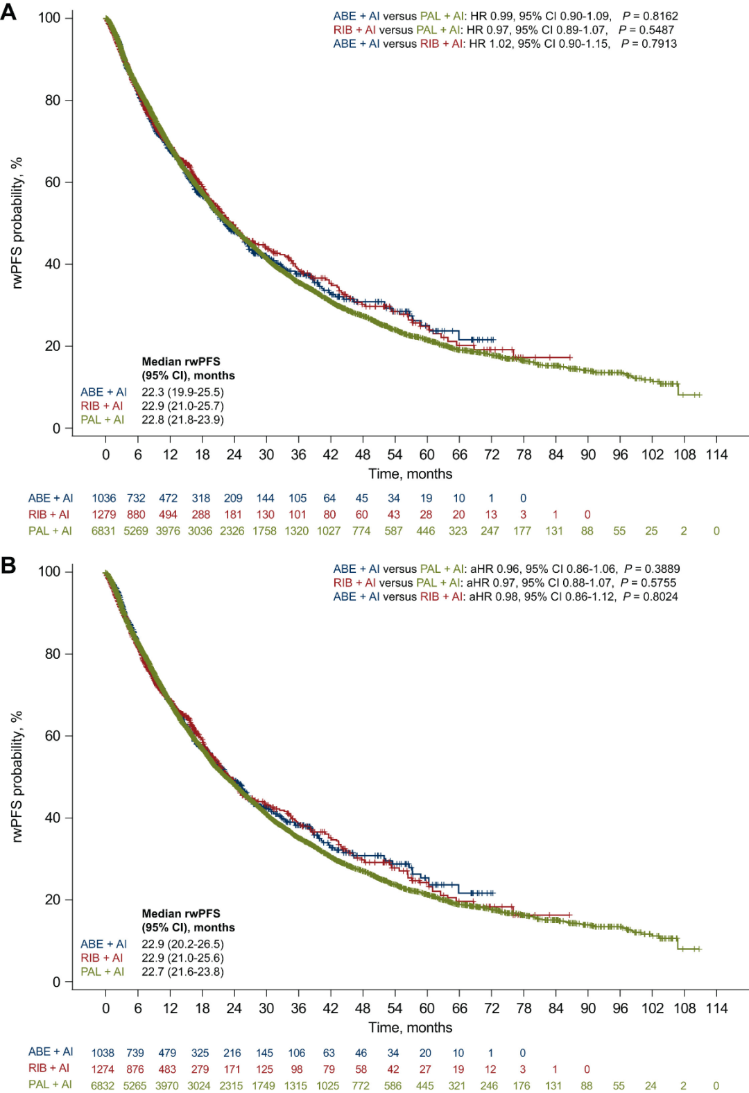
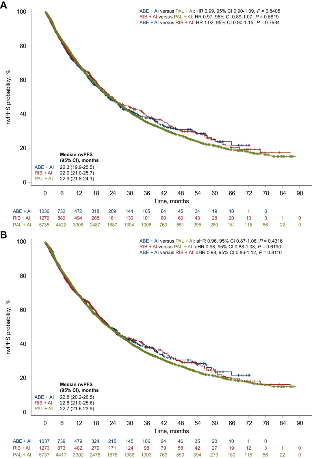
在主要疗效终点rwPFS方面,经sIPTW后哌柏西利+AI组的中位rwPFS为22.7个月,瑞波西利+AI组均为22.9个月,阿贝西利+AI组为22.9个月;其中,瑞波西利+AI组与哌柏西利+AI组相比的HR为0.97(95%CI 0.88–1.07,P=0.5755),阿贝西利+AI组与哌柏西利+AI组相比的HR为0.96(95%CI 0.86–1.06,P=0.3889),阿贝西利+AI组与瑞波西利+AI组相比的HR为0.98(95%CI 0.86–1.12,P=0.8024),表明组间rwPFS均无显著差异(图3)。另外,亚组分析与敏感性分析结果均与总体队列一致,未发现显著组间差异(图4)。
 
图3.三种CDK4/6isIPTW加权前后的rwPFS Kaplan-Meier曲线:(A)未加权;(B)加权后
 
图4.经sIPTW后rwPFS亚组分析的森林图:(A)阿贝西利+AI vs哌柏西利+AI;(B)瑞波西利+AI vs哌柏西利+AI;(C)阿贝西利+AI vs瑞波西利+AI
 
此外,针对2017年及以后(三种CDK4/6i均已在美上市)开始治疗的患者进行的亚组分析显示,sIPTW前后rwPFS同样无显著差异,调整后HR分别为:瑞波西利+AI组vs哌柏西利+AI组为0.98(95%CI 0.88–1.08,P=0.6190)、阿贝西利+AI组vs哌柏西利+AI组为0.96(95%CI 0.87–1.06,P=0.4316)、阿贝西利+AI组vs瑞波西利+AI组为0.98(95%CI 0.86–1.12,P=0.8110)(图5)。多变量Cox模型敏感性分析同样支持该亚组中无显著差异的结论(图6)。
 
图5.2017年后sIPTW加权前后的rwPFS Kaplan-Meier曲线::(A)未加权;(B)加权后
 
图6.2017年后开始治疗患者经sIPTW后rwPFS亚组分析森林图:(A)阿贝西利+AI vs哌柏西利+AI;(B)瑞波西利+AI vs哌柏西利+AI;(C)阿贝西利+AI vs瑞波西利+AI。
 
研究结论
 
P-VERIFY是迄今为止系统评估三种已获批CDK4/6i相对疗效的最大规模真实世界研究。结果表明,在美国常规临床实践中,一线使用哌柏西利、瑞波西利或阿贝西利联合AI治疗的HR+/HER2−转移性乳腺癌患者,其rwPFS均未呈现统计学显著差异,这些结果为HR+/HER2−转移性乳腺癌患者的CDK4/6i用药选择提供了提供重要依据,对推动临床决策科学化与精准化具有重要实践意义。未来研究或将聚焦于生物标志物(如PIK3CA、ESR1突变)的探索以及CDK4/6i与新型药物(如AKT抑制剂、SERD)的序贯联合策略,以进一步提升治疗精准性。
 
▌参考文献:
 
RUGO H S,LAYMAN R M,LYNCE F,et al.Real-world progression-free survival of CDK4/6 inhibitors plus an aromatase inhibitor in HR-positive/HER2-negative metastatic breast cancer in United States routine clinical practice[J].ESMO Open,2025,10(9):105570.

本内容仅供医学专业人士参考


乳腺癌

分享到: 更多