ESMO 2022 | 沙建军教授:前列腺癌的全程基石治疗——ADT前沿进展

作者:肿瘤瞭望   日期:2022/11/22 14:33:25  浏览量:14177

肿瘤瞭望版权所有,谢绝任何形式转载,侵犯版权者必予法律追究。

雄激素剥夺治疗(ADT)是前列腺癌的基石治疗,贯穿前列腺癌治疗的全程,尤其是局部晚期和转移性前列腺癌阶段。

温馨提示
以下内容仅限医疗卫生专业人士学术交流使用,如为非医疗卫生专业人士请主动退出浏览与阅读,否则由此产生的相关风险与后果应自行承担。
 
编者按:雄激素剥夺治疗(ADT)是前列腺癌的基石治疗,贯穿前列腺癌治疗的全程,尤其是局部晚期和转移性前列腺癌阶段。本次2022年ESMO大会更新了多项前列腺癌III期研究长期随访结果或亚组数据,再次强调了ADT治疗在前列腺癌不同阶段的重要价值。本期《肿瘤瞭望》特邀上海交通大学医学院附属仁济医院沙建军教授,与您分享最前沿的前列腺癌ADT相关进展。
 

LBA9-前列腺癌术后放疗联合雄激素剥夺治疗的持续时间:RADICALS-HD研究的首次结果(ISRCTN40814031)[1]
 
背景
 
ADT联合放疗(RT)作为前列腺癌的初始治疗已有确切的证据。然而前列腺根治性切除术(RP)后RT联合ADT的作用及持续时间尚不明确。
 
方法
 
RADICALS-HD是RADICALS研究的一部分,是评估术后RT联合ADT的疗效和持续时间的随机对照研究。关键入组标准为RP后具备RT指征且术后未接受ADT治疗。RT前,患者随机分配至不联合ADT组(对照组)、6个月ADT组(短程组)和24个月ADT组(长程组),进行两两比较。主要疗效指标为无转移生存期(MFS)。次要指标为至挽救性ADT的时间和总生存期(OS)。安全性主要关注以RTOG标准评估的RT毒性。
 
结果
 
2007至2015年间,来自英国、加拿大和丹麦的2839例患者参与了本研究:中位年龄66岁,其中23%的患者分期为pT3b/T4;20%的患者Gleason评分8-10分,接受RT前的中位PSA为0.22 ng/ml。1480例患者随机分配为对照组对比短程组,1523例为短程组对比长程组。中位随访时间9年。在对照组vs.短程组的对比中,基于268例MFS事件,6个月的ADT治疗未改善MFS(HR 0.89;CI:0.69-1.14;10年无MFS率为79%vs.80%,详见图1),至挽救性ADT时间延长(HR 0.54;CI:0.42-0.70,详见图2),OS未得到改善(HR 0.88;CI:0.65-1.19)。在短程组vs长程组的对比中,基于313例MFS事件,24个月的ADT治疗可改善MFS(HR 0.77;CI:0.61-0.97;10年无MFS率为72%vs.78%,详见图1),至挽救性ADT时间延长(HR 0.73;CI:0.59-0.91,详见图2),OS未得到改善(HR 0.88;CI:0.66-1.17)。
 
图1.MFS率(上图:对照组vs.短程组;下图:短程组vs.长程组)
 
图2.至挽救性ADT的时间(上图:对照组vs.短程组;下图:短程组vs.长程组)
 
结论
 
对于RP后接受RT的患者,与6个月ADT相比,联合24个月ADT可延长至挽救性ADT的时间和MFS;而与不联合ADT相比,联合6个月ADT延长了至挽救性ADT的时间,但未改善MFS。
 
沙建军教授述评:
 
当前ADT治疗已广泛应用于前列腺癌患者。EAU及CUA指南[2,3]均指出,对前列腺癌根治术后复发的患者建议尽早(PSA<0.5 ng/ml)进行挽救性放疗,同时予以6个月ADT治疗或2年抗雄治疗。本篇2022 ESMO会议报道作为RADICALS研究的部分数据分析,通过随机对照的方式评估术后放疗联合ADT的疗效和持续时间对预后的影响。研究最终结果指出,对于根治术后接受放疗的前列腺癌患者,2年的长程ADT治疗更能使患者获益。在根治性术后患者接受放疗是否联合ADT以及联合ADT的时长等临床热点问题上,本研究结果具有重要的临床实践指导意义。
 
1361MO-PEACE-1Ⅲ期研究中8个月PSA值是转移性去势敏感性前列腺癌患者结局的强烈预测因子[4]
 
背景
 
在PEACE-1Ⅲ期研究中,在ADT联合或不联合多西他赛(D)的基础上加用醋酸阿比特龙+泼尼松(AAP)改善了新发转移性去势敏感性前列腺癌(mCSPC)患者的OS。对于接受ADT+D或AAP治疗的mCSPC患者,8个月时PSA下降至无法检测水平与OS及影像学无进展生存(rPFS)的改善相关。本次评估了在PEACE-1研究中接受三联系统治疗(ADT+D+AAP)的mCSPC患者8个月时PSA值与rPFS和OS的相关性。
 
方法
 
对1172例接受ADT+/-D+/-AAP治疗且ADT开始后8个月有PSA值的患者数据进行预设分析。数据截至2021年6月1日。评估总体和各随机组的rPFS和OS。8个月PSA的分析截断值为0.2和4 ng/ml。采用Kaplan-Meier法计算基于8个月PSA值的中位rPFS和OS。
 
结果
 
共931例(79%)患者有开始ADT后8个月的PSA值。62%的患者接受ADT+D的标准治疗,56%的患者为高肿瘤负荷。中位随访时间为4.4年(95%CI:4.3-4.5),结果详见表1和图3、图4。
 
表1.接受ADT治疗后8个月不同PSA值的患者的rPFS和OS
 
图3.接受ADT治疗后8个月不同PSA值患者的rPFS
 
图4.接受ADT治疗后8个月不同PSA值患者的OS
 
结论
 
PEACE-1研究中8个月的PSA值可强烈预测mCSPC患者的rPFS和OS,应进一步研究对8个月时PSA值不理想的患者进行早期治疗干预。
 
沙建军教授述评:
 
本项PEACE-1Ⅲ期临床试验中提及,在ADT基础治疗上,阿比特龙+泼尼松联合或不联合多西他赛可改善初发mCSPC患者的OS,且ADT治疗开始后8个月的PSA值下降至<0.2 ng/ml,可提示mCSPC患者的rPFS和OS更长。本项研究对临床实践的启示为,我们对于接受ADT治疗的mCSPC患者,可关注治疗后8个月的PSA值;当PSA值异常升高时需进行早期干预并进行早期治疗,而以ADT治疗为基础的强化治疗方案可加强初发mCSPC患者的整体疾病控制。但我们仍需对这一部分人群进行更深入的临床与分子特征研究,通过更长的随访观察评估强化治疗方案对mCSPC患者的OS和长期安全性的影响。
 
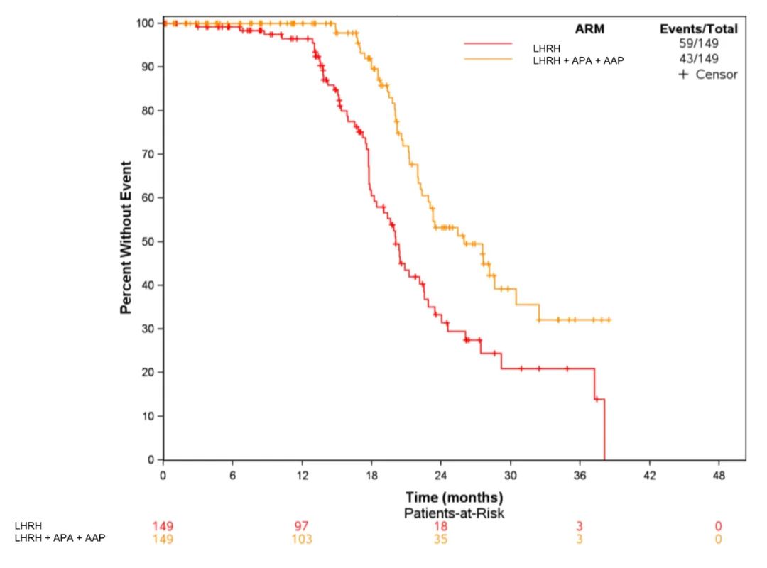
LBA63-PRESTO:雄激素“湮灭”治疗用于高危生化复发前列腺癌患者的Ⅲ期、开放标签研究(AFT-19)[5]
 
背景
 
RP后出现生化复发的前列腺癌(BRPC)且PSA倍增时间(PSADT)短的患者远处转移进展风险较高。雄激素受体(AR)拮抗剂阿帕他胺(APA)和AAP可延长转移性前列腺癌患者的生存。本研究旨在评估强化ADT能否延长BRPC患者的生化无进展生存期(bPFS)。
 
方法
 
PRESTO为在BRPC且PSADT≤9个月、传统影像学评估无远处转移的患者中进行的随机、开放标签的Ⅲ期临床试验(NCT03009981)。患者按1:1:1随机分组,分别接受52周的ADT、ADT+APA或ADT+APA+AAP治疗,根据PSADT分层(<3个月vs.3-9个月),并进行治疗后随访。主要终点为bPFS(生化进展定义为接受治疗后血清PSA>0.2 ng/mL)。次要终点包括安全性、患者报告生活质量(QoL)、至睾酮恢复(>50 ng/dL)时间(TTTR)、无转移生存期(MFS)和至去势抵抗时间(TTCR)。
 
结果
 
504例患者随机分至ADT组(N=167)、ADT+APA组(N=168)和ADT+ADA+AAP组(N=169)。预设的中期分析结果显示,与对照组ADT相比,两个试验组的中位bPFS均显著延长(ADT+APA组24.9个月vs.ADT组20.3个月,HR=0.52[95%CI:0.35–0.77];ADT+APA+AAP组26.0个月vs.ADT组20.0个月,HR=0.48[95%CI:0.32–0.71]),详见图5。ADT、ADT+APA和ADT+APA+AAP三组的中位TTTR分别为3.9、3.8和4.7个月。最常见的≥2级不良事件为高血压(ADT组19.4%,ADT+APA组23.4%,ADT+APA+AAP组30.4%)。所有治疗组中有8例(1.8%)患者因不良事件停止治疗。QoL、MFS和TTCR分析的随访工作仍在进行。
 
图5.ADT vs.ADT+APA(上图)和ADT vs.ADT+APA+AAP(下图)的bPFS
 
结论
 
在ADT基础上联用APA更完全地阻断AR可延长bPFS,安全性可控,且在有限的治疗时间内不影响TTTR,联用AAP时发生高血压的比例更高。对高危BRPC患者应考虑强化ADT治疗。
 
沙建军教授述评:
 
2022 ESMO会议报道的PRESTO研究指出,RP后生化复发且PSA倍增时间较短的患者出现远处转移及前列腺癌相关死亡的风险更高。研究结果提示在ADT治疗基础上联用阿帕他胺能够更完全地阻断雄激素受体通路,从而进一步延长无生化复发时间,总体安全性可靠,且不影响至睾酮恢复(>50 ng/dL)时间。在复发性前列腺癌患者中,间歇性ADT治疗在OS疗效方面不逊于持续性ADT治疗,且关键次要终点如患者生活质量可得到进一步改善[6]。对于生化复发高危前列腺癌患者,基于本研究可考虑强化进行ADT治疗。
 
总结
 
在前列腺癌治疗手段和药物日新月异的今天,以ADT为基础的联合治疗方案不断涌现,前列腺癌患者的治疗结局得到了进一步改善。期待未来更多的新方案和新疗法能为前列腺癌患者带来更多获益。
 
参考文献:
 
[1]2022 ESMO-LBA9-Duration of androgen deprivation therapy(ADT)with post-operative radiotherapy(RT)for prostate cancer:First results of the RADICALS-HD trial(ISRCTN40814031).
 
[2]Mottet,N.,et al.EAU-EANM-ESTRO-ESUR-ISUP-SIOG Guidelines on Prostate Cancer.Arnhem:European Association of Urology,2022.https://d56bochluxqnz.cloudfront.net/documents/full-guideline/EAU-EANM-ESTRO-ESUR-ISUP_SIOG-Guidelines-on-Prostate-Cancer-2022_2022-04-25-063938_yfos.pdf.
 
[3]黄健,等.中国泌尿外科和男科疾病诊断治疗指南[M],2019,科学出版社.
 
[4]2022 ESMO-1361MO-8-month PSA strongly predicts outcomes of men with metastatic castration-sensitive prostate cancer in the PEACE-1 phase III trial.
 
[5]2022 ESMO-LBA63-PRESTO:A phase III,open-label study of androgen annihilation in patients(pts)with high-risk biochemically relapsed prostate cancer(AFT-19).
 
[6]Crook J M,O’Callaghan C J,Duncan G,et al.Intermittent androgen suppression for rising PSA level after radiotherapy[J].New England Journal of Medicine,2012,367(10):895-903.
 
声明
本视频/资讯/文章是由益普生医学团队编辑/医疗卫生专业人士撰写提供,旨在用于医疗卫生专业人士间的学术交流,不支持以任何形式转发给非医疗卫生专业人士;如有违反,责任自负;转发给其他医疗卫生专业人士时,也请自觉保护知识产权。
本视频/资讯/文章的内容不能以任何方式取代专业的医疗指导,也不应被视为诊疗建议。内容中出现任何药品并非为广告推广目的,医疗卫生专业人士如进行处方,请严格遵照该药品在中国批准使用的说明书。益普生不承担任何相关责任。
DIP-CN-010505有限期至2023年11月20日

本内容仅供医学专业人士参考


前列腺癌

分享到: 更多