当前位置:肿瘤瞭望>资讯>研究>正文

TROP2:一款抗肿瘤治疗的高潜力靶点

作者:肿瘤瞭望   日期:2023/11/15 10:07:41  浏览量:10975

肿瘤瞭望版权所有,谢绝任何形式转载,侵犯版权者必予法律追究。

滋养层细胞表面抗原 2 (TROP2),也称为肿瘤相关钙信号转导器 2 (TACSTD2),是一种细胞表面糖蛋白,充当细胞内 (IC) 钙信号的跨膜转导器。既往多项研究表明TROP2作为肿瘤治疗靶点具有巨大的应用前景,然而很少有文献综述对其在肿瘤治疗中的作用进行系统性的总结和评价。2022年12月《Annals of Translational Medicine》杂志上发表了一篇针对TROP2靶点药物研发潜力与进展的综述[1],系统总结了TROP2的分子结构特征、功能、信号转导通路和预后价值。本刊在此对综述核心内容作一解读。

滋养层细胞表面抗原 2 (TROP2),也称为肿瘤相关钙信号转导器 2 (TACSTD2),是一种细胞表面糖蛋白,充当细胞内 (IC) 钙信号的跨膜转导器。既往多项研究表明TROP2作为肿瘤治疗靶点具有巨大的应用前景,然而很少有文献综述对其在肿瘤治疗中的作用进行系统性的总结和评价。2022年12月《Annals of Translational Medicine》杂志上发表了一篇针对TROP2靶点药物研发潜力与进展的综述[1],系统总结了TROP2的分子结构特征、功能、信号转导通路和预后价值。本刊在此对综述核心内容作一解读。

 
本综述基于从PubMed和EMBASE医学数据库中获得的1990篇文献,全面总结了TROP2在肿瘤发生中的作用以及TROP2作为恶性肿瘤的生物标志物和新兴治疗靶点的广阔前景。
 
TROP2的结构特征
 
TROP2是人滋养细胞表面糖蛋白抗原2,属于 TACSTD 家族,也称为TACSTD2、表皮糖蛋白1(EGP-1)和膜成分1号染色体表面标记1(M1S1)或胃抗原733-1(GA733-1);最初在人胎盘滋养层中发现,随后发现在大多数人类肿瘤细胞中高表达。
 
TROP2蛋白由疏水前导肽(AA1–26)、胞外结构域(ECD) (AA27–274)、跨膜结构域(AA275–297)和胞质尾部(AA298–323)组成,包含323个氨基酸(图1)。TROP2是一种Ⅰ型跨膜细胞表面糖蛋白,通过单向跨膜螺旋 (TM) 将 N 端胞外域 (EC) 连接到 IC 疏水性多肽短尾,从而将其固定在细胞膜上。胞质尾部存在高度保守的磷脂酰肌醇4,5-二磷酸(PIP2)结合序列以及酪氨酸和丝氨酸磷酸化位点,表明PIP2对TROP2的信号转导具有重要影响。
 
图1 TROP2的结构

TROP2在恶性肿瘤中的表达和突变
 
TROP2 在多种(但不是全部)恶性肿瘤中过表达,并在某些正常组织中也表现出差异表达。肿瘤基因组图谱分析结果显示,膀胱尿路上皮癌 (BLCA) 患者的 TROP2 基因表达水平最高,其次是头颈鳞癌 (HNSC) 和肺鳞癌 (LUSC) 患者(图 1)。TROP2 在BLCA、CHOL、COAD、ESCA、LUAD、LUSC、PRAD、READ、STAD、THCA和UCEC患者中上调,在HNSC、KICH、KIRC、 KIRP和LIHC患者中下调(图2)。
 
TROP2基因在不同肿瘤中突变率不同:肉瘤TROP2基因突变率最高,其次是各种神经上皮和卵巢上皮癌(图3)。目前已有一定证据支持TROP2在大多数实体瘤中过度表达,促进肿瘤发生和发展;TROP2在肿瘤中的过度表达并非由基因本身的结构改变引起,而是由于转录和转录后水平的失调所致。
 
图2 TROP2在恶性肿瘤中的表达
 
BLCA:膀胱尿路上皮癌;BRCA:乳腺癌;CHOL:胆管癌;COAD:结肠腺癌;ESCA: 食管癌;GBM:胶质母细胞瘤;HNSC:头颈鳞癌;KICH:肾嫌?细胞癌;KIRC:肾透明细胞癌;KIRP:肾乳头状细胞癌;LGG: 低级胶质瘤;LIHC:肝细胞癌;LUAD:肺腺癌;LUSC:肺鳞癌;PAAD:胰腺癌;PRAD:前列腺癌;READ:直肠腺癌;STAD:胃腺癌;THCA:甲状腺癌;UCEC:子宫内膜癌
 
图3 TROP2在恶性肿瘤中的突变
 
TROP2信号传导通路
 
TROP2 作为细胞膜表面的新型糖蛋白受体,主要通过调节钙离子信号通路和细胞周期蛋白表达以及减少纤连蛋白粘附来促进肿瘤细胞的生长、增殖和转移。TROP2胞质尾部的丝氨酸残基(S303)一旦被PKC磷酸化,PIP2就会进一步水解成三磷酸肌醇(IP3)和二酰甘油(DAG)。IP3从内质网释放Ca2+,刺激MAPK信号转导和细胞周期进程。游离Ca2+和DAG的增加可以通过正反馈机制激活更多的PKC。PKC的增加可能导致TROP2的进一步磷酸化。
 
图4 TROP2信号传导通路
 
EC:细胞外;ECD:细胞外结构域;IC:细胞内;ICD:细胞内结构域;TM:跨膜螺旋;PIP2:磷脂酰肌醇4,5-二磷酸;IP3:1,4,5-三磷酸肌醇;DAG:二酰基甘油;PKC:蛋白激酶C;MAPK:丝裂原活化蛋白激酶
 
TROP2在肿瘤发生发展中的功能
 
TROP2在不同肿瘤组织中过表达并在细胞中发挥作用,通过与多个分子结合或相互作用介导细胞增殖、侵袭、迁移、凋亡和治疗抗性。

TROP2通过钙离子信号通路介导细胞周期进程
 
在PKC的作用下,TROP2蛋白的IC尾部S303被磷酸化,从而促进PIP2水解为IP3和DAG。IP3与内质网表面的IP3受体相互作用,促进内质网储存的钙离子释放,激活MAPK通路,促进细胞周期进程(细胞进入S期的比例增加)。此外,mTROP2增加磷酸化 MAPK (ERK1/ERK2) 的水平,而增强的ERK活性则诱导FOXO3a在残基S294、S344和S425处磷酸化。这种现象可能导致其被MDM2泛素化,进而促进FOXO3a的细胞质定位和蛋白酶体降解,从而有助于肿瘤细胞的存活。IC钙水平的增加可能通过激活PKC和/或钙/钙调蛋白依赖性蛋白激酶II (CaMKII)来影响细胞信号激活和细胞周期进程。因此,进入DNA合成阶段的细胞百分比增加。此外,DAG通过相互激活PKC来调节TROP2的磷酸化。
 
TROP2通过IC水解调节细胞周期
 
在TACE、γ-分泌酶和PS-1/2的共同作用下,TROP2裂解为两种产物,即ECD和ICD。ICD从膜上释放并进入细胞核(尽管仍在膜上发现了一些)。在细胞核Wnt信号级联反应中与β-连环蛋白(β-catenin)共定位,上调cyclin D1和一种原癌基因 (c-myc)的表达,从而在核肿瘤基因的转录和细胞增殖中发挥作用。
 
TROP2介导细胞凋亡和增殖信号
 
TROP2激活p42/p44MAPK(ERK1/2) 的磷酸化,进一步增强下游转录因子AP-1的活性,AP-1是肿瘤发生过程中肿瘤相关靶基因的中心调节因子。AP-1通过VEGF诱导血管生成,通过促凋亡Bcl-2或FasL诱导细胞凋亡,通过cyclinD1/cyclinE和CDK加速细胞周期,通过MMPs、Pdpn、Ezrin和CD44诱导细胞侵袭。再者,AP-1还可通过Pdpn引起上皮间质转化 (EMT);EMT允许β-catenin的核转位,有利于细胞增殖。TROP2可通过上调增殖标志物Ki-67的表达促进肿瘤细胞的增殖,而当TROP2基因被敲低时,肿瘤细胞的增殖会受到干扰。
 
TROP2促进肿瘤侵袭和转移
 
TROP2富集细胞膜上的RACK1,从而减少纤连蛋白与整合素β-1的结合。TROP2与整合素β-1和 talin蛋白形成复合物,导致下游Src和FAK的活化。TROP2通过整合素β-1-RACK1-Src/FAK信号传递轴减少肿瘤细胞黏附并促进肿瘤细胞转移。
 
TROP2作为生物标志物的预后价值
 
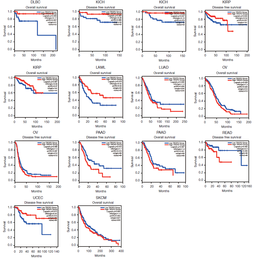
GEPIA(基因表达谱交互式分析)数据库结果显示,TROP2水平与肿瘤侵袭性和复发风险之间的明显相关性表明其可作为患者的独立预后指标。高水平TROP2可能与DLBC、KICH、KIRP和LAML患者更好的总生存 (OS) 相关;TROP2低水平可能与PAAD、SKCM、LUAD和OV更好的OS相关。高水平TROP2可能与UCEC、KICH和KIRP中更好的无病生存 (DFS) 相关;低水平TROP2可能与OV、PAAD和READ中更好的DFS相关。
 
图5 TROP2水平与肿瘤预后的相关性
 
DLBC:弥漫性大 B 细胞淋巴瘤;KICH:肾嫌?细胞癌;KIRP:肾乳头状细胞癌;LAML:急性髓系白血病;LUAD:肺腺癌;OV:卵巢癌 ;PAAD:胰腺癌;READ:直肠腺癌;UCEC:子宫内膜癌;SKCM:黑色素瘤
 
另有文献报道发现,TROP2的表达可用作淋巴结转移、分化程度和肿瘤大小的独特预后生物标志物[2]。TROP2过表达在HNSC中也增加,并且与组织分化程度和淋巴结转移相关[3-4]。TROP2蛋白的高表达与卵巢癌的高侵袭性相关[5]。TROP2 水平升高还与前列腺癌患者预后较差和更具侵袭性的临床病程相关[6-7]。一般来说,TROP2过度表达通常与不良预后和转移风险增加相关[8-11],而下调则与某些类型癌症的不良预后相关[12]。重要的是,TACSTD2基因启动子的高甲基化解释了TROP2在此类肿瘤患者中的低表达[13]。尽管如此,TROP2的预后价值也可能取决于其在肿瘤内的细胞定位,这需要进一步的研究[14]
 
总之,TROP2在多种肿瘤组织中过表达,可介导肿瘤细胞增殖、侵袭、迁移、凋亡和治疗抗性,且作为生物标志物可预测肿瘤患者预后。因此,TROP2可以作为抗肿瘤治疗的新靶点,对新型抗肿瘤药物的开发具有相当的研究价值和发展前景。作为在多种肿瘤中过度表达的跨膜蛋白,TROP2特别适合基于抗体的药物开发:比如单克隆抗体、双特异性抗体、ADC、病毒样颗粒以及与传统化疗、免疫治疗、放射免疫治疗、光免疫治疗和靶向TROP2的纳米颗粒相结合的抗体药物等,目前也均已得到迅速发展。尤其TROP2靶向ADC的出现使得TROP2成为晚期转移性恶性肿瘤的可行且极具前景的治疗靶点,值得在临床前和临床研究中进一步研究和探索。
 
参考文献
 
1. Wen Y, Ouyang D, Zou Q, Chen Q, Luo N, He H, Anwar M, Yi W. A literature review of the promising future of TROP2: a potential drug therapy target. Ann Transl Med 2022;10(24):1403.
 
2. Wu H, Xu H, Zhang S, et al. Potential therapeutic target and independent prognostic marker of TROP2 in laryngeal squamous cell carcinoma. Head Neck 2013; 35:1373-8.
 
3. Redlich N, Robinson AM, Nickel KP, et al. Anti-Trop2 blockade enhances the therapeutic efficacy of ErbB3 inhibition in head and neck squamous cell carcinoma. Cell Death Dis 2018; 9:5.
 
4. Tang G, Tang Q, Jia L, et al. High expression of TROP2 is correlated with poor prognosis of oral squamous cell carcinoma. Pathol Res Pract 2018; 214:1606-12.
 
5. Bignotti E, Zanotti L, Calza S, et al. Trop-2 protein overexpression is an independent marker for predicting disease recurrence in endometrioid endometrial carcinoma. BMC Clin Pathol 2012; 12:22.
 
6. Calvo A, Xiao N, Kang J, et al. Alterations in gene expression profiles during prostate cancer progression: functional correlations to tumorigenicity and down-regulation of selenoprotein-P in mouse and human tumors. Cancer Res 2002; 62:5325-35.
 
7. Hsu EC, Rice MA, Bermudez A, et al. Trop2 is a driver of metastatic prostate cancer with neuroendocrine phenotype via PARP1. Proc Natl Acad Sci U S A 2020; 117:2032-42.
 
8. Fong D, Moser P, Krammel C, et al. High expression of TROP2 correlates with poor prognosis in pancreatic cancer. Br J Cancer 2008; 99:1290-5.
 
9. Zhao W, Kuai X, Zhou X, et al. Trop2 is a potential biomarker for the promotion of EMT in human breast cancer. Oncol Rep 2018; 40:759-66.
 
10. Mühlmann G, Spizzo G, Gostner J, et al. TROP2 expression as prognostic marker for gastric carcinoma. J Clin Pathol 2009; 62:152-8.
 
11. Fong D, Spizzo G, Gostner JM, et al. TROP2: a novel prognostic marker in squamous cell carcinoma of the oral cavity. Mod Pathol 2008; 21:186-91.
 
12. Sin STK, Li Y, Liu M, et al. Down-regulation of TROP-2 Predicts Poor Prognosis of Hepatocellular Carcinoma Patients. Hepatol Commun 2018; 2:1408-14.
 
13. Lin JC, Wu YY, Wu JY, et al. TROP2 is epigenetically inactivated and modulates IGF-1R signalling in lung adenocarcinoma. EMBO Mol Med 2012; 4:472-85.
 
14. Ambrogi F, Fornili M, Boracchi P, et al. Trop-2 is a determinant of breast cancer survival. PLoS One 2014; 9: e96993.
 
审批编号:CN-20231113-00002

本内容仅供医学专业人士参考


TROP2

分享到: 更多